Análisis 1: Enfriamiento evaporativo. Modelo matemático
Un proceso de enfriamiento evaporativo adiabático (ver figura). Las condiciones a la entrada son aire seco a 25 °C (dbt), y a la salida la temperatura del bulbo seco es de T2 = 15 °C. El estado muerto se fija a Pdead = 1 atm, Tdead = 25 °C y φdead = 60 %. Determinar:
¿Cuánta agua se necesita para bajar la temperatura de la mezcla saliente al nivel prescrito T2?
¿Cuánta exergía se destruye durante el proceso de enfriamiento por evaporación?




El enfriamiento evaporativo opera usando agua y aire como fluidos de trabajo. Consiste en la evaporación del agua, mediante el paso de un flujo de aire, disminuyendo así la temperatura del aire. Este sistema tiene un gran potencial para proporcionar confort térmico en lugares donde la humedad del aire es baja, siendo, sin embargo, menos eficiente donde la humedad del aire es alta. Una forma de resolver este problema es utilizar deshumidificadores para pre-acondicionar el aire de proceso.
Los equipos de enfriamiento evaporativo directo enfrían el aire por contacto directo con una superficie líquida o con una superficie sólida húmeda, o incluso con sprays. Entonces, en estos sistemas, el agua se vaporiza en las corrientes de aire y el calor y la masa intercambiados entre el aire y el agua disminuyen la temperatura de bulbo seco del aire (DBT) y aumentan su humedad, manteniendo constante la entalpía, la temperatura mínima que se puede alcanzar es la temperatura de bulbo húmedo (WBT) del aire de entrada.
La efectividad de un enfriador evaporativo es la relación entre la disminución real de la temperatura de bulbo seco y la disminución teórica máxima que podría tener la temperatura de bulbo seco si el enfriador fuera 100 % eficiente y el aire de salida estuviera saturado. En este caso, la temperatura de bulbo seco de salida sería igual a la temperatura de bulbo húmedo del aire de entrada.

"Dead state" es el estado muerto y cumple que un sistema está a la misma temperatura y presión de su entorno. No tiene energía cinética o potencial en relación con su entorno. No reacciona con el entorno y no hay efectos magnéticos, eléctricos y de tensión superficial desequilibrados entre el sistema y su entorno.
Tradicionalmente, el desarrollo de la exergía ha asumido la existencia de un "ambiente alrededor o circundante". Necesariamente entonces, en la práctica las exergías se evalúan en relación con un entorno de referencia, que debe ser seleccionado por el ingeniero o técnico. Existen diferentes entornos de referencia "estándar" alternativos y, por lo general, el técnico elegirá uno de ellos. En cualquier caso, el "estado muerto" de exergía cero está dictado por el entorno de referencia seleccionado. Es decir, por equilibrio con ese entorno. Y se sostiene comúnmente que, al menos en teoría, el estado muerto debe ser el mismo para todos los contenidos y las corrientes de flujo entre los subsistemas de la instalación que se analiza.
Un sistema entrega el máximo trabajo posible a medida que pasa por un proceso reversible desde el estado inicial especificado hasta el estado de su entorno (estado muerto). Esto representa el potencial de trabajo útil, o exergía, o disponibilidad.
Cuando un sistema no está en equilibrio (o estado muerto en este caso) con su entorno, existe la oportunidad de convertir esta desviación del equilibrio para realizar algún trabajo útil. Por ejemplo; si hay una diferencia entre la temperatura del sistema y la del entorno, esta diferencia de temperatura se puede utilizar para producir trabajo útil con la ayuda de una máquina térmica. Si hay una diferencia de presión entre el sistema y el entorno, esta diferencia de presión se puede utilizar para obtener un trabajo útil con la ayuda de una turbina.





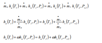
Balance de energía:

Balance de exergía:

El análisis exergético de un sistema de energía térmica a través del balance exergético de un sistema abierto es hoy en día una herramienta vital en el estudio/diseño y/o análisis de este tipo de sistemas. En el contexto de la calefacción y refrigeración de espacios, por ejemplo en edificios, es obvio que el uso de una eficiencia exergética convencional es suficiente para comparar entre diferentes sistemas de calefacción y refrigeración, ya que no hay reacciones químicas involucradas en las aplicaciones de calefacción y refrigeración.
El Método de Análisis Exergético aplicado a Sistemas de Aire Acondicionado trata de responder a muchas preguntas, relevantes en este campo industrial. Algunas de ellas, son pro ejemplo:
¿Qué método de deshumidificación tiene una mayor eficiencia exergética?
¿Qué factor ambiental es el más influyente en la eficiencia exergética de una unidad de tratamiento de aire?
¿Qué aplicaciones son más apropiadas de realizar en procesos de deshumidificación o humidificación?
ect.
Resolución analítica:
Balance de esergía en el volumen de control

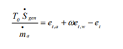
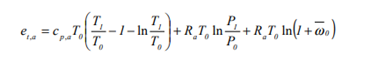
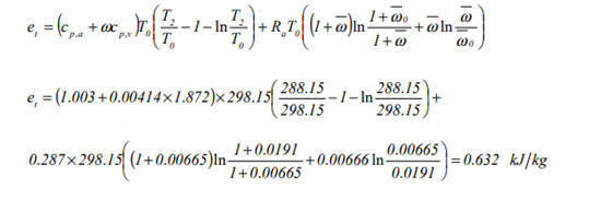
Destrucción de exergía por kg de aire seco:

Eficiencia exergética:




Como, P1=Pdead, y T1=Tdead:


Finalmente,

Como, P2=Pdead

La eficiencia exergética:

Lo que significa que el proceso de enfriamiento por evaporación debido a la irreversibilidad termodinámica destruye dos tercios de la exergía llevada al volumen de control.
Una observación importante que debe tenerse en cuenta es que la elección de las condiciones ambientales afecta bastante los resultados numéricos del análisis de exergía. La elección de Pdead = 1 atm es bastante obvia, sin embargo, falta una convención para la selección de Tdead y φdead. Evidentemente, los resultados numéricos de la eficiencia exergética se ven afectados por la selección de estas variables, así para realizar un análisis de sensibilidad de las mismas debemos hacerlo manteniéndolas constantes sus valores en todo el estudio.
ANEXO: Formulario y conceptos exergéticos
El balance de exergía es un enunciado de la ley de degradación de la energía. La degradación de la energía se debe a las irreversibilidades de todos los procesos reales. El balance de exergía se establece alrededor de una región de control delimitada por límites específicos.
A cualquier material, flujo de calor y trabajo se le puede asociar un contenido de exergía, el cual está completamente definido por la temperatura, presión y composición del propio flujo y de un estado de referencia, que normalmente es el ambiente en el que opera el sistema. Por lo tanto, es posible calcular el contenido de exergía de todos los flujos entrantes y salientes hacia y desde un sistema y establecer un balance general de exergía sobre cualquier sistema, como se muestra en la Figura.

Se ilustra en la figura anterior un ejemplo la evolución de la exergía, parte de la salida de exergía del sistema puede disiparse en el medio ambiente como pérdidas de calor, desechos de aguas residuales o efluentes de chimeneas, por ejemplo. Esta exergía desperdiciada, que ya no se puede utilizar en procesos posteriores, constituye las pérdidas externas, Iext. Es más apropiado, desde el punto de vista de las operaciones aguas abajo, considerar la exergía que permanece como utilizable, Eu. Solo una parte de la exergía utilizable es producida por el sistema a través de los fenómenos fisicoquímicos que tienen lugar dentro de sus límites. El resto de la exergía que sale del sistema con el flujo de exergía utilizable es una parte de la entrada de exergía, que simplemente ha pasado por el sistema sin sufrir ninguna transformación, denominada exergía en tránsito.
Aplicaciones de aire acondicionado
Las aplicaciones de aire acondicionado son importantes y se utilizan ampliamente en la calefacción y refrigeración de edificios. Esta sección presenta el uso del concepto de exergía en la evaluación de aplicaciones de aire acondicionado. Los conceptos de exergía física y exergía química juegan un papel importante en la evaluación del verdadero mérito termodinámico del aire acondicionado.
El objetivo de la mayoría de las aplicaciones de aire acondicionado es llevar una mezcla de aire húmedo a un estado (temperatura y composición) que difiere de las condiciones encontradas en el aire atmosférico.
Balance energético:

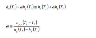
Relaciones entre propiedades





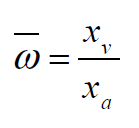
La relación de fracción molar, ϖ, que representa el número de moles de agua correspondientes a 1 mol de aire seco en la mezcla dada:

La humedad relativa, φ, que representa el número de moles de agua en la mezcla real respecto al número de moles de agua en la mezcla saturada a la temperatura T:

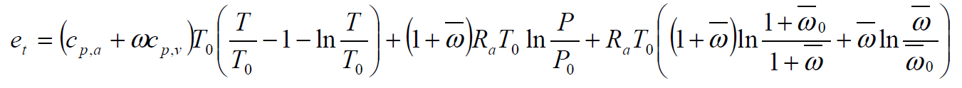
La exergía de flujo total específica del aire húmedo se deduce de la definición de exergía de flujo físico aplicada a una mezcla de gases ideales. Puede expresarse de manera diferente dependiendo de cómo se describa la composición del aire húmedo (Bejan, 1988):
La exergía de flujo total específica por mol de una mezcla de aire húmedo es:

donde, el subíndice "0" indica propiedades en el estado muerto, que suele corresponderse con las condiciones ambientales.
Se utilizan dos versiones alternativas de esta ecuación para los cálculos de ingeniería. La primera alternativa utiliza las relaciones molares ϖ y ϖ0 para describir la composición de las mezclas de aire real y del estado muerto:

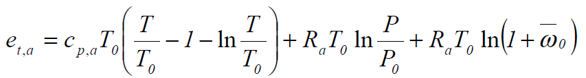
La segunda alternativa reporta la exergía de flujo total específica por kilogramo de aire seco:

La exergía de flujo total específica del aire seco se deduce poniendo a cero ω y ϖ.

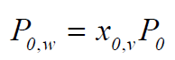
La exergía de flujo total específica del agua líquida también se requiere para el caso del análisis de exergía de aplicaciones de aire acondicionado. La exergía de flujo total específica por kilogramo de agua líquida, w, produce:

donde la presión parcial del vapor de agua en el aire atmosférico viene dada por:

La exergía de flujo total del agua líquida se puede aproximar utilizando las propiedades de los respectivos estados vecinos en el domo bifásico del diagrama de Mollier (Bejan, 1988):

Referencias bibliográficas
Bejan, A. 1988. Advanced Engineering Thermodynamics, A Wiley -- Interscience
Publication, John Wiley & Sons.
Última actualización