Análisis 113: Gases naturales reales y sintéticos
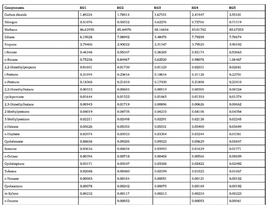
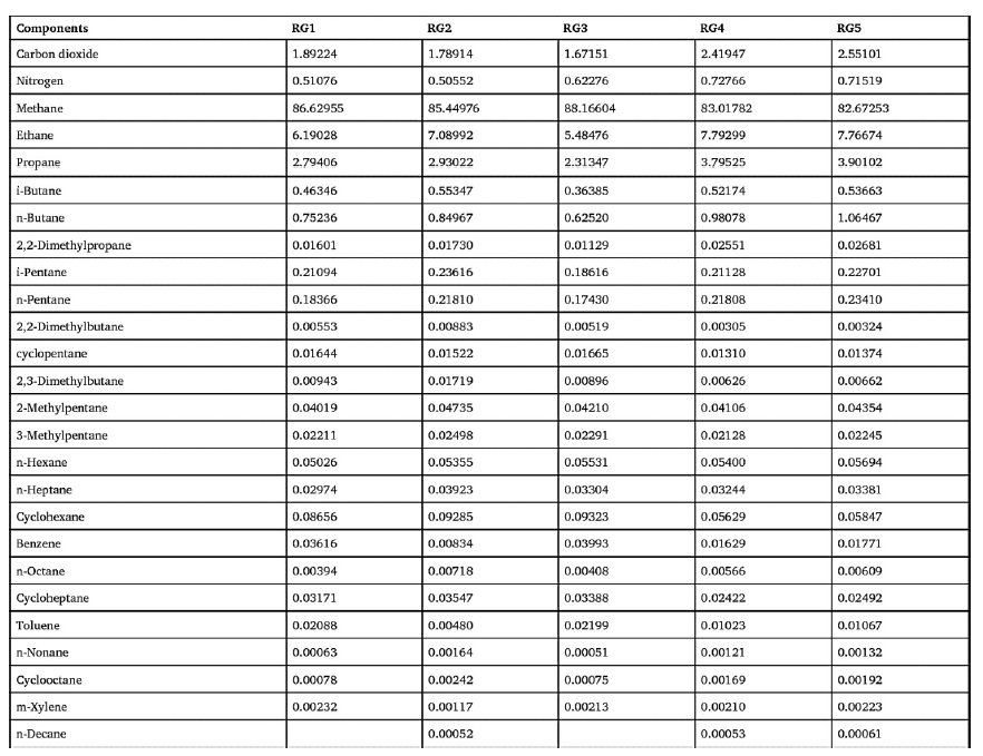
En este estudio se pone de manifiesto la potenciabilidad de ThermoCombustion al permitir una mezcla de hasta 25 compuestos para la definición del combustible (gas natural), mediante versión"Industry"





RG2
















SNG5
















AnteriorAnálisis 112: Inyección de hidrógeno en gaseoductosSiguienteAnálisis 114: Método de la eficiencia de pérdidas (método indirecto)
Última actualización